A need to belong? Belonging and exclusion in school
Dr Andy Biggart gives an overview of is paper, A need to belong?: The prevalence of experiences of belonging and exclusion in school among minority ethnic children living in the 'White hinterlands'.
Based on a survey of 711 children in Northern Ireland, the research explores a range of aspects of experiences of belonging and exclusion in relation to school among three main minority ethnic groups: Irish Traveller, Chinese/Asian and European Migrant children.
The study examines variations between each group and how they compare to the White settled population. The findings indicate that all three of the minority ethnic groups experience lower levels of belonging and higher levels of exclusion compared to their White, settled Northern Irish peers. The experiences of Irish Traveller children were the most negative.
The article adds to the dearth of data on minority ethnic children living in mainly white regions in the UK and Ireland. It argues for the need to move beyond achievement gaps in assessing minority ethnic children’s differential experiences in education and highlights the potential of belongingness as a concept for the further study of differential patterns of need and processes of inclusion.
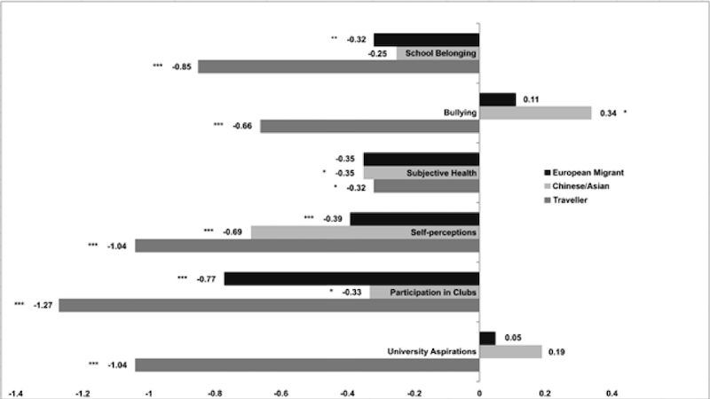
The graph below indicates the effect size differences on outcome measures according to minority ethnic group in comparison to the baseline of White settled Northern Irish pupils.

(Note: ****p<.001; **p<.01; *p<.05.)
Effect size differences of a composite measure of ‘Belonging/Exclusion’ according to minority ethnic group in comparison to baseline of White settled Northern Irish pupils is visualised below.

(Note: ****p<.001; **p<.01; *p<.05.)
More information about the study is available here:
Biggart, A., O'Hare, L., & Connolly, P. (2013). A need to belong?: The prevalence of experiences of belonging and exclusion in school among minority ethnic children living in the 'White hinterlands'. Irish Educational Studies, 32(2), 179-195. https://doi.org/10.1080/03323315.2013.765264.
Dr Fiona Murphy
Media
Recommended reference for this page:
Biggart, A. 2021. A need to belong?: The prevalence of experiences of belonging and exclusion in school among minority ethnic children living in the 'White hinterlands'. Blog post on Queens on Ethnic Minorities in Northern Ireland.